Les Amines
1. Structure.1.1. Données Spectroscopiques.
Les angles de liaisons sont voisins
de 107° (pour
)
1.2. Isomérie optique
Il n’y a pas d’énantiomérie pour les amines car l’azote peut s’inverser très rapidement à température ambiante
DE = 10% de l’énergie de liaison
1.3. Propriétés du doublet libre.
Les amines sont des bases de Lewis. Nous étudierons donc les propriétés liées à leur basicité, et celles liées à leur nucléophilie.
2. Nomenclature des amines.2.1. Classes
On distingue 3 classes d’amines, Iaires , IIaires , IIIaires . Ne pas confondre cette classification avec celles des alcools ou des dérivés halogénés : c’est le nombre de groupements carbonés substituant l’azote qui indique la classe de l’amine.
Il existe des noms triviaux :

Lorsque l’azote est substitué, on fait précédé le préfixe radicalaire de N- :

- on les nomme comme des dérivés de
l’ion ammonium
:

Lorsque l’amine a un nom trivial, on ajoute –ium au nom de l’amine :
iodure de N,N-diméthyl-pipéridinium :
Les amines sont synthétisées de diverses manières, généralement par réduction de divers composés azotés, ou par SN2 de l’ammoniac sur les dérivés halogénés.
Voici, résumés, quelques réactions de synthèse. Puis nous étudierons plus particulièrement la réduction des dérivés nitrés.
Amines I
Amines II
Amines III
Alkylation
RX + NH3 (excès) ® RNH2
réductive
Réduction
Réarrangement
2.4. Réduction des dérivés nitrés.
On utilise généralement un métal (Zn, Sn ou Fe) en milieu acide chlorhydrique concentré. On peut également utiliser comme réducteur le dithionite de sodium Na2S2O4. La réduction passe par de nombreux intermédiaires réactionnels pouvant être isolés dans certaines conditions :
On s’arrête à l’hydroxylamine par traitement du dérivé nitré par du zinc en présence de chlorure d’ammonium. Si l’on veut obtenir une hydrazine, on utilise du zinc en présence de soude en milieu éthanolique.
Les amines I et II ne donnent pas de liaisons hydrogène aussi fortes que celles des alcools. Leurs températures d’ébullition sont donc intermédiaires à celles des alcools et des hydrocarbures correspondants.
Elles possèdent une odeur forte, une odeur de poisson.
Elles ne sont solubles dans l’eau que si leur chaîne carbonée comporte moins de 5 atomes.
Leurs solutions sont basiques.
Donc, presque toutes les amines sont solubles dans les acides dilués :
Voici quelques valeurs de pKa :
4. Réactivité des amines.
Elle est centrée essentiellement sur le doublet libre de l’azote
4.1. Basicité.
Ce sont toutes des bases plus fortes que l’ammoniac, car l’azote subit les effets donneurs des groupements alkyles qui lui sont substitués, ce qui renforce sa charge partielle négative et le rend plus nucléophile et plus basique (voir pKa).
Ces amines sont toutes des acides très faibles, car l’ion amidure correspondant est beaucoup moins stable que l’ion alcoolate par exemple, car l’azote est moins électronégatif que l’oxygène.
Seules les amines aromatiques, où le doublet de l’azote est conjugué avec le système p du cycle et est donc moins disponible, sont moins basiques (pKa = 5-6), et aussi plus acides :
l’aniline : est moyennement basique, alors que la diphénylamine est une base très faible et que la triphénylamine est neutre.
C’est une alkylation des amines par SN2 du doublet de l’amine sur un dérivé halogéné. Il peut être intéressant de se placer en excès d’halogénure d’alkyle (avec CH3Br par exemple). On a alors une "perméthylation" et on obtient un sel d’ammonium quaternaire :

Si on se place en excès d’ammoniac, on se limite à la formation des amines Iaires. Les halogénures peuvent parfois être déshydrohalogénés par les amines IIIaires

Les amines Iaires et IIaires peuvent être facilement acylées en amides par les chlorures d’acide. Les amides étant moins basiques que les amines, il ne peut y avoir qu’une seule acylation de l’amine. Pour parfaire la réaction, on rajoute une base diluées : NaOH, pyridine :

Les amines tertiaires donnent des réactions
complexes.
Les anhydrides donnent le même type de réaction :

Le phosgène COCl2 réagit aussi sur les amines primaires en donnant un chlorure de carbamoyle qui perd facilement HCl. On obtient ainsi les isocyanates d’alkyle.

Par exemple, ces isocyanates sont les précurseurs des mousses de polyuréthane :

Nous retrouvons ici une réaction semblable à la précédente, mais avec les chlorures d’acides sulfoniques, pour donner des sulfonamides :

La réactivité des sulfonamides est cependant différente de celle des carboxamides, et elle permet de mettre en œuvre le test de "Hinsberg" qui permet de caractériser les trois classes d’amides :
- Les sulfonamides primaires portent un proton acide sur leur azote. En effet les effets inductifs attracteurs et mésomères attracteurs du groupement SO2 sont bien plus puissants que ceux de CO. Ces effets stabiliseront donc facilement la charge négative qui va se former :
Le test de Hinsberg consiste donc à créer la sulfonamide, à la passer en milieu basique, puis à revenir en milieu acide. Nous obtenons les résultats suivants :
|
type de l’amine |
chauffage de l’amine avec le chlorure de paratoluènesulfonyle en milieu basique (NaOH) |
traitement du mélange obtenu par HCl concentré |
|
primaire |
dissolution (formation de
ion soluble dans l’eau |
précipitation de
|
|
secondaire |
apparition d’un précipité (formation de
qui est insoluble dans l’eau |
Le précipité reste insoluble dans l’eau (L’azote n’est plus assez basique pour capturer un proton) |
|
tertiaire |
pas réaction de l’amine. Le chlorure de paratoluène sulfonyle est hydrolysé en paratoluènesulfonate de sodium. L’amine reste insoluble dans l’eau |
protonation de l’amine tertiaire en
|
L’acide chlorosulfonique réagit de la même façon :

C’est une des principales réactions des amines, qui conduit à la synthèse de nombreux composés industriels (colorants, etc...)
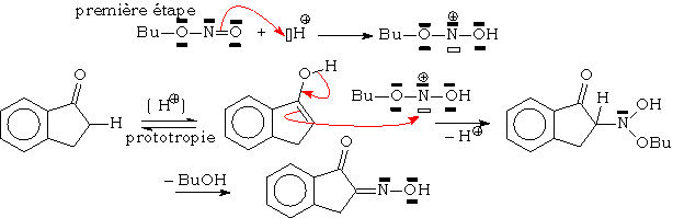
La réaction se fait en ajoutant à une solution aqueuse de NaNO2 (nitrite de sodium), une solution aqueuse froide de l’amine dans un acide dilué.
4.5.1. Agent de nitrosation
C’est
. La réaction se fait
en milieu acide :
![]()
4.5.2. Réaction de
avec les amines
IIaires.
On obtient une amine N-nitrosée (généralement bleue à cause de la forte délocalisation des électrons dans le groupement N-NO :

4.5.3. Réaction de
avec les amines
IIIaires.
La réaction est complexe :

Les amines tertiaires aromatiques sont nitrosées en para :

4.5.4. Amines Iaires.
Les amines primaires conduisent toutes, par nitrosation, à un sel de diazonium. Cependant, seuls les sels de diazonium aromatiques sont relativement stables.
Formation du sel de diazonium :

Le bilan global est donc :

Les sels de diazonium aromatiques sont stabilisés par résonance :

L’étude de ces sels est vue au § 6
Les sels de diazonium aliphatiques ne sont pas stables et se décomposent en passant par un carbocation. Celui-ci va donner des alcools, des alcènes, des composés cycliques, etc… C’est la réaction de Demyanov :

Autre exemple :

Des facteurs stéréochimiques interviennent dans cette réaction qui est une SN2 de N2 par un doublet s d’une liaison C—C en position anti par rapport au groupe partant
ex :

4.6. Addition - Élimination sur les aldéhydes et cétones
On obtient des a-hydroxylamines ou carbinolamines :

Celles dérivant des amines primaires
se déshydratent et donnent des imines N-substituées ou bases de
SCHIFF : on obtient des aldimines
ou des cétimines
![]()
Exemple : 
Les amines secondaires donnent les ènamines si on élimine l’eau de la déshydratation grâce au dyn-stark :

Elles sont très diverses. Les amines tertiaires donnent des oxydes d’amine :


Les N-oxydes aliphatiques peuvent subir l’élimination de Cope:

Exemple :

Les amines secondaires sont également oxydées ainsi, mais se tautomérisent ensuite en N,N-dialkylhydroxylamines.

N-hydroxypipéridine
Les amines aromatiques s’oxydent de manière complexe :

Les peracides oxydes les amines en dérivés nitrés :

On passe d’abord par un dérivé nitrosé.
HO – Cl est également sensible à l’attaque nucléophile de l’azote :

Les chloramines peuvent être déshydrohalogénées en imines :

4.8. Synthèse des carbylamines
Les amines, nucléophiles, réagissent également avec les carbènes :

La réduction par H2/Pt donne des amines N-méthylées.
Ce sont des composés ioniques qui
ressemblent à Na+ ou K+. Le composé
est une base forte.
5.1. Réaction d’élimination d’Hoffmann
C’est la principale réaction de ces composés (en dehors de la forte basicité de leurs hydroxydes)
Elle n’apparaît que si un des substituants de l’azote porte un H en b. Sous l’effet de la chaleur, les hydroxydes d’ammonium quaternaire sont décompsés en alcène et en amine tertiare. Ex :

Elle ne suit pas la règle de Zaytseff. On obtient l’alcène le moins substitué. Exemple :

Explications :
L’état de transition est différent de celui de la E2 : en effet celui-ci présente déjà l’ébauche de la double liaison à venir :

Dans l’élimination d’Hoffmann, l’acidité des protons en b est augmentée par la charge positive du groupe partant. On passe par un état intermédiaire où c’est l’anion le plus stable qui va se former :

Donc ce sont les H des carbones les moins substitués par des groupements donneurs inductifs qui seront les plus acides.
Pour synthétiser les sels d’ammonium quaternaires nécessaires à cette élimination, il faut traiter auparavant une amine par l’iodure de méthyle en excès : c’est la perméthylation d’Hoffmann. Exemple :

5.2. Substitution d’un groupe N – alkyle
Lorsque l’hydrogène en b de l’azote est très encombré, l’élimination selon Hoffmann ne peut se faire et on a une SN2 :

Pour transformer un sel quaternaire en amine tertiaire, on utilise un composé bon nucléophile, mais base faible, par exemple le thiophénate :

On peut considérer deux types de réactions essentielles : celles avec départ d’azote et celles sans départ d’azote (formation des diazoïques). Nous envisagerons aussi l’étude des ylures de diazonium tels que le diazométhane
6.1. Réactions avec départ d’azote
6.1.1. RéductionLe chauffage de ces composés avec l’éthanol ou avec l’acide hypophosphoreux H2POOH permet de remplacer N2 par H. C’est une bonne méthode pour supprimer une amine d’un cycle aromatiqu
6.1.2. Hydrolyse. Synthèse des phénols
La solution aqueuse de sels de diazonium, synthétisée froid, donne des phénols par réchauffement de cette solution. Le mécanisme semble être du type SN1.

Il existe une autre méthode pour passer des amines aux phénols : la synthèse de Bücherer :

6.1.3. Formation d'iodures, de nitrates
Il s’agit ici d’une véritable SN2, grâce à la bonne nucléophilie de I– :

Cl– , Br– ,
CN– et
ne sont pas aussi nucléophiles que I–. Pour que
N2 puisse être substitué, il faut utiliser ces anions sous forme de
sels cuivreux en milieu acide pour Cl– et Br–, neutre pour
CN– et basique pour
. La réaction semble être radicalaire


Cette synthèse des nitriles permet d’obtenir facilement des acides carboxyliques par hydrolyse

CuF n’existe pas (F trop oxydant). Donc la Sandmeyer est impossible. Cependant HBF4 et HPF6 précipitent les cations diazonium en solution aqueuse :

Ces sels peuvent être séchés et manipulés sans danger à l’état solide. En les chauffant doucement à l’état sec, ils se décomposent en fluorures aromatiques :
6.2. Réactions sans départ d'azote
Les sels de diazonium sont de piètres électrophiles, mais réagissent avec les cycles aromatiques activés (phénols, phénates, arylamines). Les composés obtenus sont fortement conjugués, présentent souvent des propriétés acidobasiques, qui leur permettent de modifier leur conjugaison lors du passage d’une forme à l’autre. Ce seront donc des colorants qui pourront servir parfois d’indicateur coloré de pHmétrie.

L’azote de l’aniline est un bon nucléophile et réagit avec le cation diazonium si on opère incorrectement la diazotation :

Chauffé quelques heures à pH 6 – 7, le diazoaminobenzène s’isomérise en paraaminoazobenzène
Ce sont des structures complexes qui contiennent généralement un groupement acide sulfonique, ce leur permet d’être solubles dans l’eau :
Acide H

Un bon colorant doit être
absorbé par la fibre. Les substituants polaires
maintiennent la molécule à la
surface de la fibre par formation de liaisons hydrogène.
Les groupements à effet +E foncent la teinte par diminution de l’énergie entre les plus hautes OM p pleines et les plus basses OM p antiliantes vides. Exemple :

De nombreux indicateurs de pH sont donc des colorants azoïques, par exemple le Rouge Congo : bleu en milieu acide, rouge en milieu basique. PKi = 5

6.3.1. Structure

Ils sont stabilisés par les
groupements attracteurs d’électrons. Exemple : les a-diazocétones :
Il est synthétisé à partir de la N-méthyl-N-nitrosourée :

Le diazométhane est toxique et explosif. C’est un gaz jaune que l’on manipule en solution.
6.3.3. Réactions du diazométhane
° C’est un nucléophile. Il permet ainsi de former des éthers et des esters méthylés :
![]()
![]()
C’est la même chose avec les alcools.
° Synthèse des a-diazocétones :

HCl réagit ensuite avec le diazométhane en excès (voir supra)
° Réaction avec les cétones
Le diazométhane se comporte aussi comme un initiateur du carbène CH2. Celui-ci s’insère généralement entre la fonction carbonyle et une des chaînes carbonées fixées sur ce carbonyle. Il y aussi formation de sous-produits tels des oxiranes :

Ce carbène peut être formé par irradiation du diazométhane par la lumière U.V. Dans ce cas, il peut y avoir réaction avec les alcènes.
6.3.4. Réarrangement de Wolff : réaction de Arndt-Eistert
Les a-diazocétones, lorsqu’elles sont chauffées en présence d’oxyde d’argent, donnent un cétène par perte d’azote . C’est un cas typique de transposition de Wolff, qui concerne les acylcarbènes et les acylnitrènes :

En présence d’éthanol, le cétène est transformé par addition en ester. La réaction globale, à partir d’un acide, pour donner un ester comportant un carbone supplémentaire inséré entre le carbonyle de la fonction acide et la chaîne carbonée, s’appelle la réaction de Arndt-Eistert :

Les a-diazocétones cycliques donnent des réactions de contraction de cycle. Le réarrangement de Wolff est induit photochimiquement :

Voici le mécanisme de cette synthèse :


On peut faire un bon parallèle entre les diazoalcanes et les azotures, les uns étant des alkylures de diazonium, les autres des amidures de diazonium :
![]()
Ils sont obtenus par action de
l’ion azoture
sur les halogénures d’alkyle (ils peuvent être par la
suite hydrogénés en amines) :
![]()
Les acylazotures, de la même manière que les a-diazocétones, donnent le réarrangement de Wolff après perte d’azote : C’est la réaction de Curtius-Schmitt. Il y a formation d’un acylnitrène qui se réarrange, que l’on retrouve dans les réactions de Lossen et d’Hoffmann. On obtient un isocyanate (voir infra) qui pourra donner des uréthanes ou des amines.

Ces acylazotures peuvent aussi être obtenus par diazotation des hydrazides RCONHNH2.
7. Réaction des imines, isocyanates et ènamines.
En milieu acide :

L’éthanaldimine et la méthanaldimine se polymérisent spontanément :

On obtient des amines. Les réducteurs utilisés sont HCOOH, NaBH4 , H2/Ni
Exemple :

Les amines secondaires peuvent également être alkylées de cette façon :

Autre exemple : la réaction d’Eschweiler-Clark. C’est une méthylation des amines IIaires par le méthanal en présence d’acide méthanoïque comme réducteur.

Cette synthèse permet de comprendre la synthèse primitive (il y a 4 Milliards d’années) des acides aminés :

C’est une condensation
acidocatalysée sur les amines IIaires. L’ion immonium intermédiaire
va
rendre le CH2 sensible à l’attaque nucléophile de l’énol de
l’acétone :

Cette base de Mannich peut se déshydrater sous l’effet de la chaleur pour libérer une a-ènone.

7.6. Réaction de Wolff-Kischner
C’est une réduction de cétones passant par l’intermédiaire d’une hydrazine :

7.7. Addition nucléophile sur les isocyanates
De formule R – N = C = O . Le carbone central est très électrophile. Ces isocyanates dans de nombreuses réactions de dégradation des composés azotés. C’est donc un intermédiaire de synthèse intéressant. On peut l’isoler et le libérer en présence d’eau pour donner des polyuréthanes utilisés dans l’isolation thermique.
Exemples :



Les diisocyanates réagissent avec les polyols (diols ou plus) pour donner les polyuréthanes.
L’hydrolyse des isocyanates donnent des amines. Il faut éviter que celles-ci ne réagissent sur l’isocyanate restant en donnant des urées substituées si l’on veut récupérer les amines.
On opérera donc en milieu acide, où les amines sont protonées et n’ont plus de pouvoir nucléophile.
7.8. Alkylation des cétones par l’intermédiaire des ènamines
Les ènamines comportent un carbone activé par le pouvoir mésomère donneur de l’azote.

Elles pourront donc donner lieu à des réactions de substitution nucléophiles sur les halogénures d’acyle et certains halogénures d’alkyle. Les ions immonium obtenus sont de plus faciles à hydrolyser.
On aura donc le schéma réactionnel suivant :
ènamine + réactif électrophile
ion immonium substitué
hydrolyse en cétone
substituée
7.8.1. C – alkylation
Ne se fait qu’avec les halogénures réactifs : benzyliques, allyliques, a-carbonylés et CH3I

7.8.2. C – acylation
Tous les chlorures d’acide réagissent avec les ènamines pour donner des b - dicétones :

Ils sont caractérisés par la liaison Cº N polarisée comme C=O. Ils réagiront donc comme les dérivés carbonylés, soit :
8.1. Réactivité du carbone électrophile
8.1.1. hydrolyse
Elle est catalysée par les bases ou les acides :
catalyse acide

Les hydroxyimines sont les formes tautomères
instables des amides : 
catalyse basique
Dans les deux cas précédents, les amides obtenues sont hydrolysées, en carboxylate en milieu basique, et en acide carboxylique en milieu acide
En présence de HCl sec, les alcools s’additionnent aux nitriles de deux manière, selon la stœchiométrie proposée :

- 3 moles d’alcool pour une mole de nitrile : on obtient un orthoester R – C(OEt)3

8.1.2. Réaction des organomagnésiens
Ils s’additionnent une fois au nitrile, et l’hydrolyse conduit aux cétones :

De la même manière, ils régissent avec les ortoesters pour donner des cétones :

8.1.3. Réduction des nitriles
Elles conduisent généralement aux amines primaires. On peut utiliser divers agents : H2/Ni raney dans EtOH en présence d’ammoniac, LiAlH4 dans l’éther, Na dans EtOH
C’est une réactivité comparable à celle des H en a des carbonyles des esters (Claisen) :

Réaction de Thorpe : (voir la réaction de Dieckmann)

Le nitrile réagit avec l’alcool tertiobutylique en milieu acide (ce qui donne un carbocation tertiaire stable) pour donner une amine primaire :

9.1. Alkylation de l’azote
Les carboxamides ne sont pas assez acides pour être transformées en anions par HO– aqueux. Par contre les sulfonamides le sont :

Cet anion est un bon nucléophile :

La phtalimide, qui est une dicarboxamide, présente également cette propriété. L’hydrolyse de l’imide substituée obtenue permet d’obtenir une amine primaire : C’est la synthèse de Gabriel :

L’azote de l’amide est suffisamment nucléophile pour réagir avec +NO. On obtient alors un composé de diazonium qui se décompose immédiatement en acide :
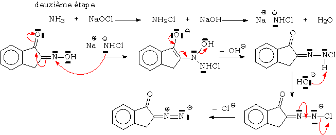
Pour éliminer l’acide nitreux présent en excès dans les mélanges réactionnels (Sandmeyer), on utilise de l’urée qui est une diamide :
![]()
Les amides monosubstituées donnent des dérivés N-nitrosés, précurseurs des diazoalcanes :

Les amides possédant un proton au moins sur l’azote réagissent avec les hypohalogénures :

S’il reste un hydrogène sur l’azote, la réaction continue avec la base : c’est la dégradation d’Hoffmann :

L’isocyanate, dans les conditions
opératoires (présence d’eau et de soude), est généralement hydrolysé en amines
et ![]()