CHROMATOGRAPHIE LIQUIDE HAUTE PERFORMANCE (HPLC)
I) Principe de la chromatographie
La chromatographie est une méthode de séparation des constituants d'un mélange même très complexe.
Il existe trois principaux types de chromatographie:
• la chromatographie en phase gazeuse (CPG)
• la chromatographie en phase liquide à haute performance (HPLC)
• la chromatographie en couche mince (CCM).
Les deux premières méthodes peuvent être assez largement décrites par des théories communes. Dans les deux cas, un fluide appelé phase mobile parcourt un tube appelé colonne. Cette colonne peut contenir des "granulés" poreux (colonne remplie) ou être recouverte à l'intérieur d'un film mince (colonne capillaire). Dans les deux cas, la colonne est appelée phase stationnaire. A l'instant initial, le mélange à séparer est injecté à l'entrée de la colonne où il se dilue dans la phase mobile qui l'entraîne à travers la colonne.
Si la phase stationnaire a été bien choisie, les constituants du mélange, appelés généralement les solutés, sont inégalement retenus lors de la traversée de la colonne.
De ce phénomène appelé rétention il résulte que les constituants du mélange injecté se déplacent tous moins vite que la phase mobile et que leurs vitesses de déplacement sont différentes. Ils sont ainsi élués de la colonne les uns après les autres et donc séparés.
Un détecteur placé à la sortie de la colonne couplé à un enregistreur permet d'obtenir un tracé appelé chromatogramme. En effet, il dirige sur un enregistreur un signal constant appelé ligne de base en présence du fluide porteur seul ; au passage de chaque soluté séparé il conduit dans le temps à l'enregistrement d'un pic.
Dans des conditions chromatographiques données, le "temps de rétention" (temps au bout duquel un composé est élué de la colonne et détecté), caractérise qualitativement une substance. L'amplitude de ces pics, ou encore l'aire limitée par ces pics et la prolongation de la ligne de base permet de mesurer la concentration de chaque soluté dans le mélange injecté.
II) La chromatographie liquide haute performance

Les organes
qui contient la phase mobile en quantité suffisante. Plusieurs flacons d'éluants (solvants de polarités différentes) sont disponibles pour pouvoir réaliser des gradients d'élution (mélange de plusieurs solvants à des concentrations variables) à l'aide de la pompe doseuse.a) Un réservoir de solvant (éluant)
b) La pompe : elle est muni d'un système de gradient permettant d'effectuer une programmation de la nature du solvant. Elle permet de travailler:
- en mode isocratique, c'est-à-dire avec 100% d'un même éluant tout au long de l'analyse.
- en mode gradient, c'est-à-dire avec une variation de la concentration des constituants du mélange d'éluants.
Les pompes actuelles ont un débit variable de quelques ml à plusieurs ml/min.
c) Vanne d'injection : c'est un injecteur à boucles d'échantillonnage. Il existe des boucles de différents volumes, nous utiliserons une boucle de 20ml. Le choix du volume de la boucle se fait en fonction de la taille de la colonne et de la concentration supposée des produits à analyser. Le système de la boucle d'injection permet d'avoir un volume injecté constant, ce qui est important pour l'analyse quantitative.

Une colonne est un tube construit dans un matériau le plus possible inerte aux produits chimiques, souvent en inox ou en verre. Sa section est constante, de diamètre compris entre 4 et 20 mm pour des longueurs généralement de 15 à 30 crn. Au delà, les importantes pertes de charges exigeraient des pressions de liquide beaucoup trop élevées.
- La phase normale:
La phase normale est constituée de gel de silice. Ce matériau est très polaire. Il faut donc utiliser un éluant apolaire. Ainsi lors de l'injection d'une solution, les produits polaires sont retenus dans la colonne, contrairement aux produits apolaire qui sortent en tête.
L'inconvénient d'une telle phase, c'est une détérioration rapide au cours du temps du gel de silice, ce qui entraîne un manque de reproductibilité des séparations.
- La phase inverse :
La phase inverse est majoritairement composée de silice greffées par des chaînes linéaires de 8 ou 18 atomes de carbones (C8 et C18)
. Cette phase est apolaire et nécessite donc un éluant polaire (ACN, MeOH, H20). Dans ce cas, ce sont les composés polaires qui seront élués en premier.Contrairement à une phase normale, il n'y a pas d'évolution de la phase stationnaire au cours du temps, et la qualité de la séparation est donc maintenue constante.
- La phase mobile :
L'interaction plus ou moins forte entre la phase mobile et la phase stationnaire normale ou à polarité inversée se répercute sur les temps de rétention des solutés. La polarité de la phase stationnaire permet de distinguer deux situations de principe :
- si la phase stationnaire est polaire, on utilisera une phase mobile peu polaire la chromatographie est dite en phase normale ;
- si la phase stationnaire est très peu polaire, on choisira une phase mobile polaire ( le plus souvent des mélanges de méthanol ou d'acétonitrile avec de l'eau), c'est la chromatographie en phase inverse. En modifiant la polarité de la phase mobile, on agit sur les facteurs de rétention k des composés.
Les silices greffées conduisent en général à une perte importante de polarité. Avec une phase greffée, l'ordre d'élution est opposé à celui auquel on est habitué avec les phase normales. Ainsi avec un éluant polaire, un composé polaire migre plus vite qu'un composé apolaire. Dans ces conditions les hydrocarbures sont fortement retenus. On réalise des gradients d'élution en diminuant au cours de la séparation la polarité de l'éluant (ex : mélange eau /acétonitrile dont la concentration en acétonitrile va en croissant au cours de l'élution).
On peut, en mélangeant plusieurs solvants, ajuster le pouvoir d'élution de la phase mobile.

Deux types de détecteurs sont classiquement utilisés
* détecteur UV-visible (celui que nous utilisons) : il mesure l'absorption de la lumière par le produit à la sortie de la colonne. E opère à longueur d'onde constante, celle-ci ayant été fixée par l'opérateur. La lampe Deuterium est utilisé pour des longueurs d'ondes variant de 190-350 nm et la lampe à vapeur de mercure est utilisé
à la longueur d'onde non variable de 254 nm. Pour que ce type de détecteur soit utilisable, il faut que :- le produit à détecter absorbe la lumière à une longueur d'onde accessible à l'appareil, et que son coefficient d'absorption
e soit suffisamment grand ;- la phase mobile n'absorbe pas la lumière à la longueur d'onde choisie par l'opérateur.
Figure 5: Principe du détecteur UV
* réfractomètre : il mesure la variation de l'indice de réfraction du liquide à la sortie de la colonne. Cette mesure, extrêmement précise, dépend néanmoins de la température du liquide. On compare cet indice avec celui de la phase mobile pure : il y a donc une référence d'où le terme de variation de l'indice. Ce détecteur exclut les variations de la composition de la phase mobile ; il n'est donc possible de travailler qu'en mode isocratique avec ce détecteur.
Les données sont collectées par l'intermédiaire soit d'un intégrateur ou d'une -station d'acquisition.
III) Application de la chromatographie à l'analyse
1) Analyse des chromatogrammes
Une bonne séparation se traduira par une séparation distincte des pics correspondant à chacun des produits.

Un chromatogramme doit être parfaitement reproductible.
La composition de la phase mobile est un paramètre particulier à la HPLC. Il faut donc préciser pour chaque analyse :
- le type de colonne : marque, nature, diamètre, longueur, support…
- la nature de l'éluant : solvant, si c'est un mélange préciser sa composition, débit, mode de détection
l en nm.- la quantité injectée, le début de l'injection sur le chromatogramme, la sensibilité du détecteur, etc…
Le temps de rétention (tR en min) est une caractéristique de chaque soluté dans les conditions opératoires fixées.
On peut comparer le tR de deux solutés en définissant :
- le facteur de sélectivité
a entre les deux solutés :- l’efficacité d'une colonne qui est mesure en nombre de plateau théorique :
Nombre de molécule sortant
de la colonne en fonction du temps
s
: écart type : distance entre le point d'inflexion (point où la dérivée seconde s'annule) et la moitié de la courbe.d
: largeur du pic à mi-hauteurw
: largeur à la base (unité de temps)n = nombre de plateaux théoriques : ![]()
HEPT (hauteur équivalente de plateaux théoriques)
HEPT = L/n (L = hauteur de colonne, n nombre de plateaux théoriques)
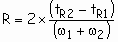
Résolution de la colonne pour la séparation de deux solutés bien déterminés.
![]()
R>1 bonne séparation
R<1 mauvaise séparation Þ donc les paramètres appliqués à la colonne ne sont pas les bons.
Cette analyse est basée sur le fait que l'aire des pics chromatographiques est proportionnelle à la concentration ou à la quantité de produit analysé.
Méthode de l'étalonnage externe :
Il est nécessaire de disposer d'une quantité suffisante du produit afin de faire une courbe d'étalonnage Aire = f(masse ou concentration du produit), pour un volume injecté constant V. L'injection ultérieure du même volume V de l'échantillon à doser permet, à l'aide de la mesure de l'aire du pic reportée sur la courbe d'étalonnage, de connaître la masse ou la concentration recherchée. Cette méthode est plus précise que celle qui consiste à ne faire qu'une mesure avec l'étalon et à utiliser une règle de trois :
Ae/Me = Aet/met
A: Aire des pics
e : échantillon
et : étalon
m : masse du produit remplaçable par la concentration
Méthode des ajouts :
Comme la précédente, cette méthode nécessite de posséder le produit à analyser pur; après avoir analysé l'échantillon, on ajoute à celui-ci des quantité connues
Dm du produit avant de le chromatographier à nouveau ( faire au minimum deux ajouts), ce qui entraîne une variation de l'aire du pic DA.Si m est la masse contenue dans l'échantillon à analyser,
(
DA/Dm) = a/m soit m= A*(Dm/DA)Si le produit ajouté est en solution, il faut tenir compte des effets de dilution.

Méthode de l'étalon interne
(utilisée essentiellement en CPG) :On compare la réponse du ou des produits à analyser à celle d'un étalon interne, donc introduit dans le mélange à doser et convenablement choisi.
Une solution étalon est préparée avec le ou les produits que l'on veut doser. Les masses sont connues m’1, m’2, et … me pur l'étalon ; à ces masses correspondent les aires A’1, A’2, …, A'e, sur le chromatogramme.
Dans l'échantillon contenant les masses m1, m2, … de solutés on ajoute me de l'étalon, ce qui donne les aires A1, A2, Ae.
On obtient :
m'1 = a1 A’1
m'2 = a2 A’2
me = ae A'e
avec a coefficient de proportionnalité
et k1 = (a1/ae) = (m'1 A’e /me A’1)
d'où la valeur k1 puisque toutes les données sont connues.
Dans l'échantillon inconnu on aura :
m1 = a1 A1
me = ae Ae
(m1/me) = (a1 A1/ae Ae) = k1(A1/Ae)
me, k1, A1, Ae sont connus.