Les acides aminés sont des ions
dipolaires (zwitterion) dans leur état naturel :
En effet, ils sont solubles dans l’eau, comme les composés ioniques, leurs points de fusion sont plus élevés que ceux d’acides carboxyliques correspondants, ils sont très facilement cristallisés.
Voici les acides a-aminés naturels (on indique par un astérisque les acides aminés essentiels, ceux qui ne peuvent être synthétisés par l’être humain et doivent donc être apportés par la ration alimentaire) :
|
Nom |
Symbole |
Formule | |
|
Monoaminomonocarboxylique | |||
|
Glycine |
Gly (G) |
H3N+ - CH2 – COO– | |
|
Alanine |
Ala (A) |
H3N+ - CH(CH3) – COO– | |
|
Valine * |
Val (V) |
H3N+ - CH(i-Pr) – COO– | |
|
Leucine * |
Leu (L) |
H3N+ - CH(i-Bu) – COO– | |
|
Isoleucine * |
Ile (I) |
H3N+ - CH(s-Bu) – COO– | |
|
Sérine |
Ser (S) |
H3N+ - CH(CH2OH) – COO– | |
|
Thréonine * |
Thr (T) |
H3N+ - CH(CHOH-CH3) – COO– | |
|
Monoaminodicarboxyliques et les divers amides | |||
|
Acide aspartique |
Asp (D) |
HOOC – CH2 – CH(NH3+) – COO- | |
|
Asparagine |
Asp(NH2) (N) |
H2N – OC – CH2 – CH(NH3+) – COO- | |
|
Acide glutamique |
Glu (E) |
HOOC – (CH2)2 – CH(NH3+) – COO- | |
|
Glutamine |
Glu(NH2) (Q) |
H2N – OC – (CH2)2 – CH(NH3+) – COO- | |
|
Diaminocarboxylique | |||
|
Lysine * |
Lys (K) |
H3N+ – (CH2)4 – CH(NH2) – COO- | |
|
Hydroxylysine |
Hylys |
H3N+ – CH2 – CHOH - (CH2)2 – CH(NH2) – COO- | |
|
Arginine * |
Arg (R) |
H2N+ = C(NH2) – NH –(CH2)3 – CH(NH2) – COO– | |
|
Contenant du soufre ou du sélénium | |||
|
Cystéine |
Cys (C) |
HS – CH2 - CH(NH3+) – COO- | |
| Sélénocystéine |
(U) |
HSe – CH2 - CH(NH3+) – COO- | |
|
Cystine |
CySSCy |
–OOC – CH(NH3+) – CH2 – S -S – CH2 - CH(NH3+) – COO- | |
|
Méthionine * |
Met (M) |
CH3 – S – (CH2)2 – CH(NH3+) – COO– | |
|
Nom |
Symbole |
Formule | |
|
Aromatique | |||
|
Phénylalanine* |
Phe (F) |
F – CH2 - CH(NH3+) – COO- | |
|
Tyrosine |
Tyr (Y) |
p-HO - F – CH2 - CH(NH3+) – COO- | |
|
Hétérocyclique | |||
|
Histidine* |
His (H) |
| |
|
Proline |
Pro (P) |
| |
|
Hydroxyproline |
Hypro |
| |
|
Tryptophane * |
Trp (W) |
| |
Ces aminoacides comportent un ou plusieurs carbones asymétriques. Tous les aminoacides provenant de protéines humaines sont L dans la représentation de Fischer (NH2 et H sur l’horizontale, COOH en haut, le reste en bas) :

2. Préparation des acides aminés
On peut utiliser plusieurs méthodes, que nous pouvons relier aux réactions déjà étudiées précédemment.
L’a-bromoacide (par exemple), est obtenu par la réaction de Hell-Volhard-Selinsky. Un excès d’ammoniac permet de passer à l’acide aminé (réaction de substitution selon Hoffmann)
Le phtamimidure de potassium réagit par exemple sur un a-bromoester (de préférence à l’acide qui risquerait de reprotoner le phtalimidure), puis l’hydrolyse acide (ou mieux, l’action de l’hydrazine) permet de récupérer l’aminoacide. Ainsi pour la leucine :

Ici le phtalimidure réagit avec le 2-bromomalonate d’éthyle EtOOC – CHBr – COOEt, obtenu comme précédemment. Puis on applique la synthèse malonique classique :

L’acide nitreux (ou le chlorure de nitrosyle NOCl) réagit avec le malonate d’éthyle ou le cyanoéthanoate d’éthyle (NC – CH2 – COOEt, qui réagit de la même façon) pour donner un diester-oxime (voir plus bas la structure et le mécanisme de formation), que l’on réduit par hydrogénation catalytique en présence d’anhydride éthanoïque : l’oxime est réduit en amine, qui donne un amide par action directe de l’anhydride éthanoïque. On fixe le reste de la molécule par synthèse malonique classique :

Le mécanisme de la formation de l’oxime est le suivant :

Nous avons déjà vu cette réaction dans le cours sur les amines :
La synthèse d’un a-cétoacide peut se faire par la synthèse oxaloacétique :

En présence d’acide cyanhydrique et d’ammoniac, les aldéhydes donnent des aminonitriles, hydrolysés en acides-aminés en milieu acide :

Les acides aminés dont les chaînes latérales ne sont pas ionisables sont caractérisés par deux constantes d’ionisation dont les pK sont respectivement de l’ordre de 2 et de 9 :
Si on applique une différence de potentiel entre eux életcrodes plongeant dans une solution d’aminoacide, ce dernier migre vers l’anode ou vers la cathode suivant le pH. Pour un pH particulier, appelé point isoélectrique, il n’y a pas de migration de l’aminoacide car les concentrations en anions et en cations sont identiques :
![]()
Le point isoélectrique est une caractéristique de chaque acide aminé : par exemple il a un pH de 6 pour la glycine, de 5,5 pour la phénylalanine, de 11,2 pour l’arginine et de 3,2 pour l’acide glutamique.
Le point isoélectrique est atteint lorsque la forme non chargée (la deuxième) est majoritaire, soit lorsque
.
Cette propriété permet de séparer les acides aminés par électrophorèse :
A pH 6, la glycine est sous la forme du zwitterion, donc sans charge globale. Il ne sera donc entraîné ni vers l’anode, ni vers la cathode. L’acide glutamique est sous la forme dicarboxylate-ammonium, donc de charge globale négative. Il sera entraîné vers l’anode. L’arginine est sous la forme diammonium-dicarboxylate, donc de charge globale positive. Il sera entraîné vers la cathode. On peut aussi placer ces trois acides au même point, et visualiser leurs déplacements. Pour révéler correctement les aminoacides, on utilise ensuite un révélateur : la ninhydrine. La réaction qui conduit à un dérivé coloré (violet à jaune) est la suivante :
![]()
Les acides aminés sont dans la nature sous forme de polyamides, appelés polypeptides pour les structures courtes, et protéines pour les structures de masse molaire élevée : on les trouve sous la forme :

Ces composés sont des hormones, des enzymes. L’enchaînement de ces aminoacides se fait dans un ordre très précis : c’est la structure primaire des protéines dont dépend leur activité biologique. Voici par exemple la structure primaire de l’ocytocyne :

En réalité, les liaisons H de la molécule de protéine imposent une conformation particulière, appelée structure secondaire, qui est responsable de la spécificité de chaque enzyme. Sur ces protéines, il existe des sites qui ne permettront que de traiter une molécule particulière, et d’autres sites qui feront le traitement.
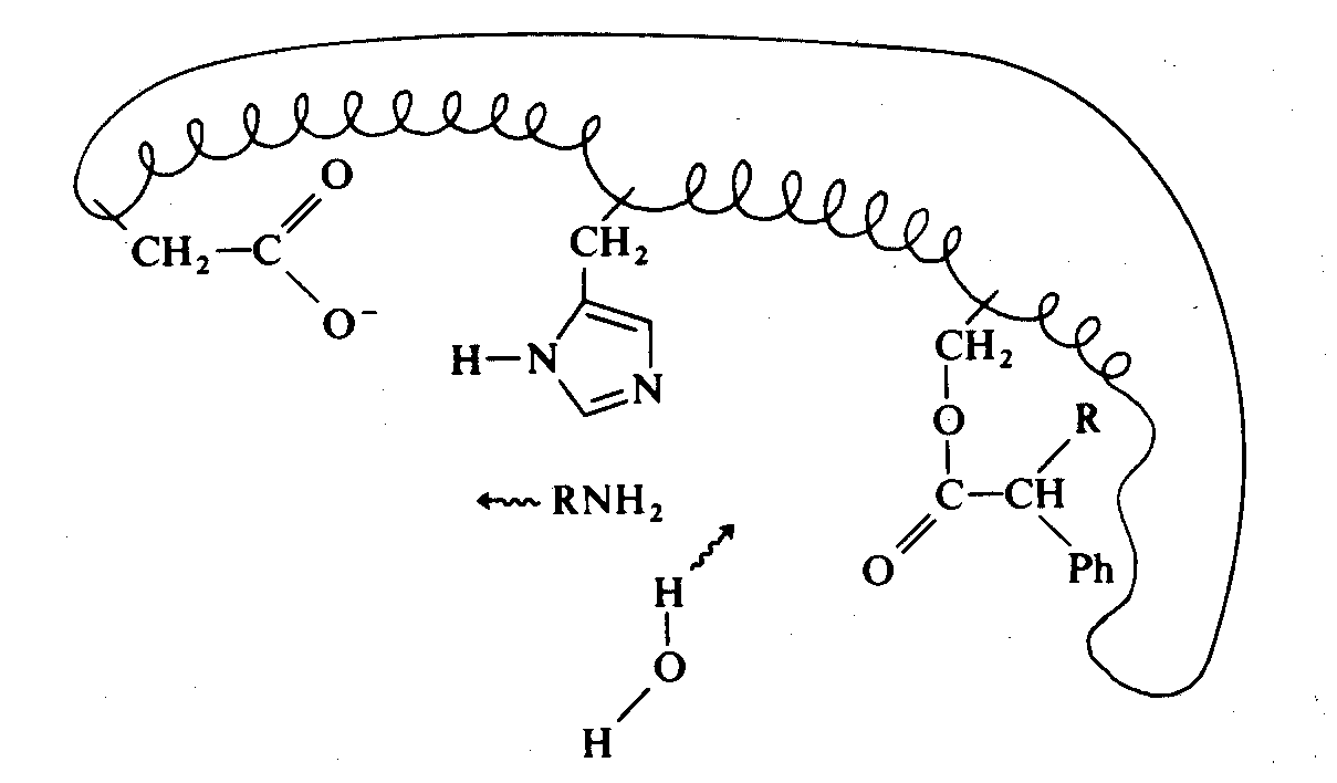
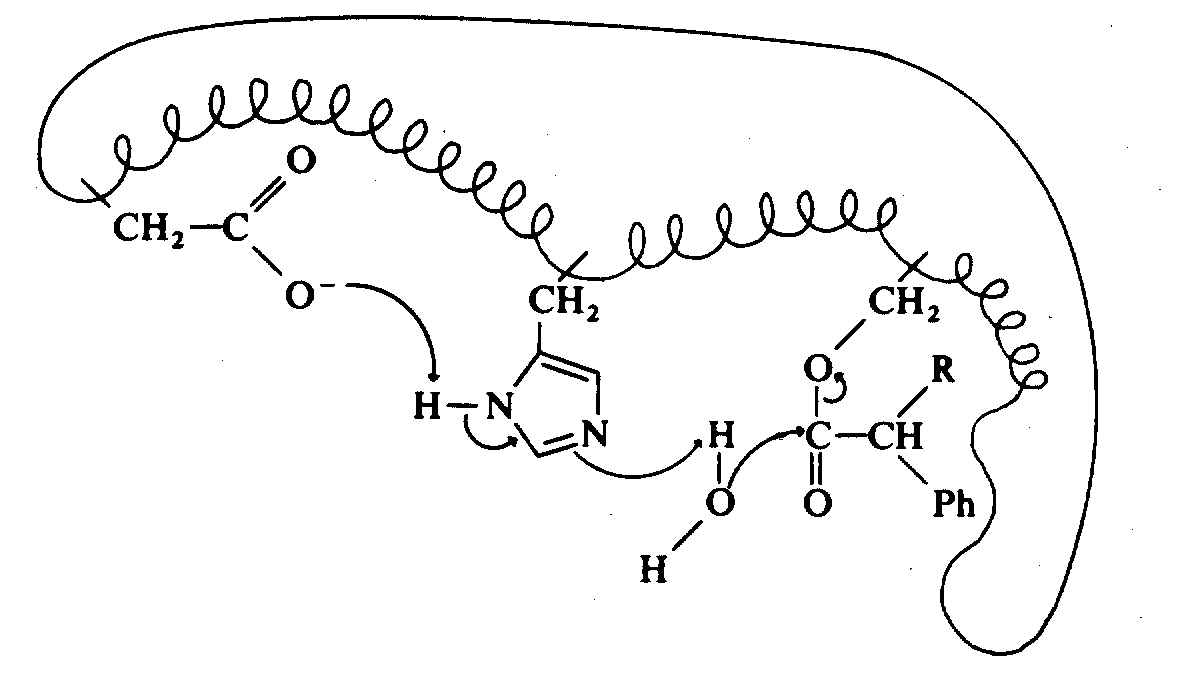
Ainsi la chymotrypsine, une enzyme pancréatique qui hydrolyse les fonctions amides de polypeptides quand celles-là sont proches d’un site aromatique. Voici une schématisation de son mode d’action :
Un proton est transféré de la sérine (qui acquiert une charge négative) à l’acide aspartique (qui passe de la forme carboxylate à la forme acide) via l’histidine ( qui sert généralement de transporteur de protons dans un enzyme).
Le polypeptide va être hydrolysé près du chaînon phénylalanine, le cycle aromatique, par interaction de Van der Waals, va se positionner sur un site de l’enzyme prévu à cet effet. L’ion alcoolate de la sérine va alors faire une addition élimination sur la fonction amide et libère l’amine.

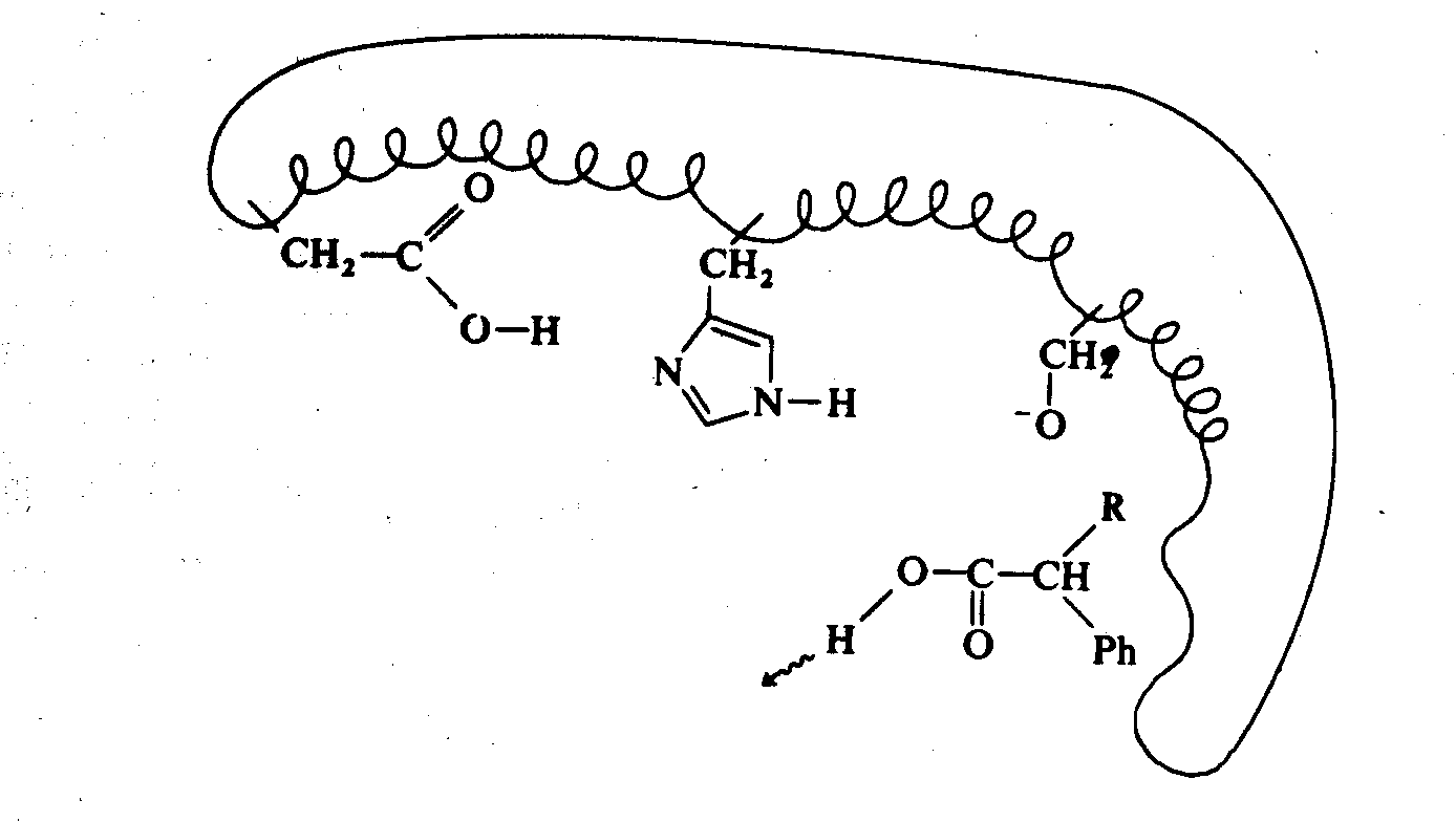
Formation d’un enzyme acylé intermédiaire.

Désacylation

Libération du polypeptide COOH-terminal.

Certains composés synthétiques sont des polypeptides, par exemple l'aspartame, édulcorant de synthèse, qui est l'ester méthylique du polypeptide phénylalanine - acide aspartique :
