La liaison chimique localisée
La règle de l’OCTET proposée par LEWIS (1916) fait appel aux électrons pour expliquer la liaison chimique : les atomes qui s’associent en molécules ont une configuration électronique stable formée de 2 (pour H) ou 8 électrons périphériques, par exemple l’azote dans NH3 .
Mais il existe de très nombreuses exceptions : PCl5 , SF6 .
Une tentative d’explication de la liaison chimique applique la mécanique quantique à l’étude de la stabilité des molécules. Lorsque deux atomes A et B sont placés à grande distance l’un de l’autre, il existe entre eux une attraction très faible due aux forces électrostatiques entre les différentes charges. Lorsqu’ils se rapprochent, leurs nuages électroniques se recouvrent. Si les électrons peuvent s' échanger entre les deux systèmes, il y a stabilisation du système total et formation d’une liaison chimique. La position d’équilibre est atteinte lorsque se compensent les forces d’attraction et les forces de répulsion entre les noyaux et entre les électrons. Plus le domaine de recouvrement est important, plus la liaison est forte: C’est le PRINCIPE DU RECOUVREMENT MAXIMUM .
On appelle liaison covalente une liaison dans laquelle les électrons de valence des deux atomes sont partagés entre les noyaux. Nous allons étudier cette liaison pour H2 . Comme on ne sait pas entièrement résoudre l’équation de SCHRÖDINGER pour un tel système où l’expression de l’énergie potentielle dépende de quatre variables de position, on est amené à admettre que l’on peut choisir les fonctions d’onde moléculaires, de manière à obtenir la valeur optimale pour l’énergie correspondante, en résolvant l’équation de SCHRÖDINGER de cette manière. Les fonctions d’onde forment un espace vectoriel. On pourra les combiner, et seuls les coefficients de combinaison seront à déterminer.
1.1. Méthode de HEITLER - LONDON (ou valence bond = liaison de valence). Elle utilise une fonction d' onde assez compliquée :

1.2. Méthode de MULLIKEN (combinaison linéaire d’orbitales atomiques : CLOA, appelée aussi OM : orbitales moléculaires)
Cette méthode donne une valeur de E et de y moins bonne que la précédente, mais elle est plus simple.

On applique les mêmes règles de remplissage que pour l’atome :
Si nous traçons les variations de E1 et E2 avec la distance interatomique, on constate par le calcul que E2 présente un minimum pour r0 = 0,085 nm. Expérimentalement on trouve 0,074 nm.

Ce calcul est donc insuffisant mais permet en première approximation de retrouver les résultats expérimentaux. Depuis, en faisant intervenir d’autres orbitales atomiques, on a pu optimiser ces valeurs et obtenir une bonne concordance avec l’expérience : la liaison chimique est donc un fait beaucoup plus complexe qu’on pourrait le prévoir, et toutes les conséquences de cet état de choses ne sont pas encore découvertes.
1.2.3. Description spatiale des orbitales moléculaires.
Comme dans le cas de l’atome, la connaissance de y permet de déterminer une surface d’équidensité (où la densité de probabilité de présence de l’électron est partout la même, soit égale à 0,01), cette surface englobant un volume où l’on a 95 chances sur 100 de trouver l’électron. Une étude plus poussée de ces surfaces montre que le volume où l’on a 50% de chances de trouver les électrons se situe entre les deux atomes pour l’orbitale y 2 .

On appelle y 2 une orbitale liante, notée aussi y , et y 1 une orbitale antiliante, que l’on note aussi y *. Il existe, nous le verrons, des OM non liantes.
2. Molécules diatomiques homonucléaires
On peut montrer
mathématiquement que les orbitales atomiques des deux atomes à lier ne peuvent
se combiner entre elles que si elles présentent les mêmes propriétés de symétrie
par rapport aux éléments de symétrie de la molécule.
Étudions la molécule A––A dans le repère Oxyz
Nous constatons que les éléments de symétrie importants sont les plans contenant la droite A—A, et nous en conserverons deux, les plans xOy et yOz . Considérons maintenant les orbitales 2s , 2px , 2py et 2pz d’un atome de la seconde période de la classification. (ce sont les seules qui donneront une contribution importante à la liaison)
On constate que
l’orbitale 2s est symétrique par rapport à ces deux plans :
symétrie par rapport à yOz ![]()
symétrie par rapport à yOx ![]()
Il en est de même pour 2py. Par contre, l’orbitale
2px est symétrique par rapport à xOy
et antisymétrique par rapport à yOz
.
De même, 2pz est symétrique par rapport à yOz et
antisymétrique par rapport à xOy .
Cela implique nécessairement qu’une orbitale 2px du premier atome ne pourra se combiner qu’avec une orbitale 2px du second atome. Cette combinaison se fait comme dans le chapitre précédent (pour H2) . On obtient une orbitale moléculaire liante d’énergie plus basse et une orbitale antiliante d’énergie plus élevée. De même, les deux 2pz ne se combineront-elles qu’entre elles.
Les orbitales
,
vont
se recouvrir latéralement. Nous obtenons à partir de chaque couple une OM
"p " et une OM
"p *". Par ailleurs, pour chacun des deux atomes A1 et A2 , nous
avons deux orbitales de même symétrie, la 2s et la 2py . Si la différence
d’énergie entre ces deux orbitales est grande ( c’est le cas pour O et F), les
deux groupes
et
se combineront séparément. Dans le cas contraire, il
y a mélange des deux groupes, et chaque OM sera combinaison linéaire
particulière des quatre orbitales 2s1 , 2s2 ,
. Ces
dernières OA, dans les deux cas de figure invoqués, vont se recouvrir axialement
pour donner des OM "s
" et "s *".
![]() |
![]() |
Diagramme des OM d’une molécule A1 – A2 possèdant au plus 10 électrons de valence (N2).
propriétés de symétrie
| Éléments de symétrie | Plan xOy | Plan yOz |
| Orbitales symétriques | ||
| Orbitales antisymétriques |
DIAGRAMME ÉNERGÉTIQUE DES ORBITALES MOLÉCULAIRES

Diagramme des OM d’une molécule A2 possèdant moins de 10 électrons de valence (C2 et N2) :
et
peuvent aussi être toutes deux
simultanément non liantes.

Diagramme des OM d’une molécule A2 possèdant plus de 10 électrons de valence (O2 et F2) :
Ces diagrammes d’OM sont valables toute molécule A2 de la deuxième période. Étudions quelques cas intéressants :
C2 (8 él.) N2 (10 él.) O2 (12 él.)


L’indice de liaison est donné par la relation suivante :
(nombre d’électrons liants –nombre d’électrons antiliants)/2
Donc l’indice de liaison vaut 4 pour C2 , 3 pour N2 et 2 pour O2 .
On remarque que la somme des spins (ou spin total) de la molécule O2 n’est pas nulle, mais vaut 1. Cette molécule possède donc un moment magnétique (proportionnel au spin total), ce qui confère au corps pur O2 des propriétés paramagnétiques.
3. Molécules diatomiques hétéronucléaires
Le diagramme sera semblable à celui de N2 ou O2 (selon le nombre d’électrons de valence des deux atomes), mais à partir de niveaux d’énergie d’OA différents et donc avec des niveaux d’énergie d’OM différents. L’exemple type est celui de CO, le monoxyde de carbone.
OM de la molécule CO

peuvent être
considérées ici comme non-liantes. De ce diagramme découle la formule de LEWIS :
.
Pour appliquer le modèle des orbitales moléculaires ou "Valence Bond" aux autres molécules, il est fait appel à la théorie des groupes. Ainsi, on montre que dans la molécule de méthane, les 4 OA de valence du carbone (2s et trois 2p), ainsi que les 4 OA 1s de l'hydrogène se combinent linéairement en respectant une géométrie tétraédrique. Nous dirons que nous sommes en présence d'un carbone tétragonal. Dans ce cas, toutes les fonctions d'onde moléculaires seront de type s, et il est intéressant de préciser la structure du squelette s obtenu dans d'autres cas de figures.
Dans le cas précédent, à partir de 8 OA, on obtient 4 OM s de même énergie et 4 OM s* de même énergie, allant par paires (liante - antiliante), chaque paire étant associée à une des liaisons de la molécule de méthane.
5.1. Divers types de structures
Structures où l'atome central ne combine que des OA s et p ou des O s et d (exclusivement) avec les atomes périphériques
|
désignation de l'atome central |
disposition spatiale |
OA de l'atome central non utilisées |
exemples |
|
linéaire |
y 1 et y 2 à 180° |
Les 2 OA p de l'atome central perpendiculaires aux deux liaisons s |
C dans l’éthyne, CdI2 |
|
trigonal |
y 1 , y 2 , y 3 à 120° et coplanaires |
L'OA p perpendiculaire au plan des OM s |
C dans |
|
tétragonal |
y 1 , y 2 , y 3 , y 4 à 109°28’ : structure tétraèdrique |
aucune, si on utilise des OA p,
deux ( |
C dans |
Structures où l'atome central combine des OA s, p et d avec les OA des atomes périphériques
|
plan-carré |
y 1 , y 2 , y 3 , y 4 à 90° : structure plan-carré |
L'OA p perpendiculaire au plan
du carré, ainsi que les 4 OA d, autres que |
Ni dans |
|
bipyramidal trigonal |
y 1 , y 2 , y 3 à 120° et coplanaires , y 4 , y 5 perpendiculaires à ce plan et formant entre elles un angle de 180° |
les 4 OA d, autres que |
|
|
octaédrique |
y 1 , y 2 , y 3 , y 4 , y 5 , y 6 pointant aux sommets d’un octaèdre régulier : |
les 3 OA d, autres
que |
|
5.2. Représentation de quelques molécules présentant uniquement des OM s
Le méthane : Le carbone combine ses OA 2s et 2p avec les OA 1s des 4 H. On obtient donc 4 OM s et 4 OM s* ; le carbone apporte 4 électrons de valence, les 4 hydrogènes 1 chacun :

5.3. Recouvrement latéral des OA non utilisées pour le squelette s : OM p
Étudions la molécule d’éthène C2H4 . Les deux carbones sont trigonaux et le squelette s de la molécule est facile à représenter dans le plan xOy :

On constate qu’il reste sur chaque carbone une OA perpendiculaire ou plan de la molécule : OA pz . Elle dispose encore d’un électron. Il y aura recouvrement latéral des OA pz des deux atomes de carbone pour donner une OM p liante, de basse énergie, et une OM p * . Seule l’OM p contient les deux électrons de liaison.
Le squelette s d'une molécule sera déterminé par la connaissance préalable de sa géométrie. L'intérêt de l'étude portera sur les OM p formées ainsi que sur l'extension possible de ces OM à toute ou partie de la molécule : ce sera l'étude de la mésomérie, approfondie dans la théorie de Hückel.
Autre exemple : l’éthyne. Le squelette s est linéaire . Il reste sur chaque carbone deux OA non hybridées parallèles deux à deux ; px et pz : on obtient donc deux systèmes p perpendiculaires, px et py :

Systèmes dissymétriques : le groupement carbonyle C = O.
Le carbone est trigonal, l'oxygène linéaire : On constate la présence de deux OM non liantes sur l'oxygène : exemple du méthanal

5.4. Modèle VSEPR (Valence Shell Electron Pair Repulsion)
Ce modèle permet de déterminer par des considérations très simples la structure d’une molécule contenant autre chose qu’un métal de transition. Il s' agit surtout de molécules formées d’un atome central entouré d’atomes très électronégatifs (halogènes, oxygène, soufre).
On compte d’abord le nombre d’électrons entourant l’atome central : – ceux provenant de cet atome (électrons de valence, soit 7 pour Cl par exemple).
– ceux provenant des atomes périphériques : il s’agit de ceux donnés par chacun de ces atomes pour créer la liaison avec l’atome central (la "valence" habituelle de ces atomes : un pour les halogènes, deux pour O et S)
– On y rajoute les électrons apportés par les charges négatives quand il s’agit d’ions négatifs.
– On en retranche les électrons ayant disparu par
création d’une charge positive (ions positifs), et,
comme on n’étudie ici que le
squelette s , il faut en retrancher deux
électrons par liaison p
existant dans la molécule. C’est ainsi que O ,
lorsqu’il donne deux électrons à l’atome central, sera lié à celui-ci par une
double liaison (s + p
) ; globalement, "O =" n’ajoutera ni ne
retranchera d’électrons à l’atome central. Il est rappelé que "–OH" et "–
" se comportent comme
"–X" .
Cette somme est divisée par deux, et l’on obtient le nombre de paires s (liantes ou non liantes) entourant l’atome central. À chaque valeur de ce nombre correspond une géométrie particulière pour la disposition de ces paires :
– 2 paires : structure linéaire
– 3 paires : structure triangulaire
– 4 " : " tétraèdrique
– 5 " : " bipyramidale trigonale
– 6 " : " octaèdrique
– 7 " : " octaédrique déformée
Parmi ces paires certaines sont libres, d’autre liantes. On étudie l’interaction entre ces deux types de paires et entre le même type :
– Paire Libre-Paire Libre (PL-PL)
– Paire Libre - Paire liante (PL-Pl)
– Paire liante-paire liante (Pl-Pl). Ces interactions ne sont déstabilisatrices que si l’angle entre les paires est < 100° (plus l’angle est petit, plus l’interaction est forte). Les paires libres ayant leurs électrons plus proches de l’atome central, ce sont elles qui provoqueront les interactions déstabilisatrices les plus fortes.
Quelques exemples : PF5 , ClF3 , TeCl4
–
PF5 : P apporte 5 électrons de valence. Les 5 F amènent 1 électron
chacun car le fluor est monovalent dans les fluorures. Au total 10 électrons,
donc 5 paires, entourent P . Or PF5 présente 5 paires liantes, donc
il n' y a pas de paires libres. La structure de PF5 est donc
:
– TeCl4 : Te apporte 6 électrons de valence. Les 4 Cl amènent un électron chacun. Au total 10 électrons, donc 5 paires, entourent Te . Or TeCl4 présente 4 paires liantes, il y a donc une paire libre. Il y a deux structures possibles pour TeCl4 :
et 
A B
On constate que dans A il y a deux interactions PL-Pl à 90°, alors que dans B il y en a trois. A est donc la structure la plus stable et donc celle que l’on trouvera : structure zigzag :
ClF3 : vérifier qu' il y a également 5 paires autour de Cl , dont deux paires libres, ce qui permet trois arrangements :

Vérifier que A est la bonne structure.
6.1. Molécules polyatomiques conjuguées (voir aussi la Théorie de Hückel)
6.1.1. Le radical allyle ![]()
C’est un des
exemples les plus simple de système p conjugué. Chaque carbone est
hybridé sp2 (approximativement) et le squelette s est :
Il reste donc sur chaque C une OA pz et un électron. Comme ces 3 OA ont même symétrie par rapport aux éléments de symétrie de la molécule, elles pourront se combiner linéairement pour donner 3 OM p d’énergie différente. Soit a la valeur de l’énergie d’un électron dans une OA pz , b l’énergie supplémentaire d’un électron dans une OM p provenant de la combinaison de deux OA pz . Ainsi, dans l’éthène, les deux électrons p ont une énergie égale à 2(a + b ). S’il n’y avait pas conjugaison entre la double liaison et le carbone radicalaire du radical allyle, l’énergie des 3 électrons serait égale à 3a + 2b .
Or le calcul basé sur le fait que l’énergie du système doit être minimale, impose une participation de toutes les OA à chaque OM p , et donne les résultats suivants :
![]()
Soit le diagramme d’énergie suivant (avec 3 électrons)
Les 3 O.M.

La somme des énergies électroniques du système p conjugué vaut :
![]()
La différence d’énergie entre celle du système conjugué (réel) et celle du système non conjugué (hypothèse de travail) est appelée énergie de conjugaison ou énergie de résonance. Elle indique donc une stabilisation (puisque b est négatif) de la structure par rapport à la molécule non conjuguée. C’est cette stabilisation que l’on appelle résonance. Les électrons sont dits délocalisés car on peut retrouver le même électron d’un bout à l’autre de la molécule :
Cela indique aussi qu’une réaction ayant lieu à une extrémité de la molécule peut se propager à l’autre extrémité.
![]()

Le squelette s est le suivant (hybridation sp2 pour chaque carbone)
Le diagramme des OM p du butadiène :
y4 ![]()
y3
![]()
y2
![]()
y1
![]()
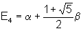
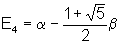
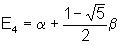
La somme des énergies des 4 électrons p de ce système conjugué est égale à :
. L’énergie de
résonance Er vaut : ![]()
Les fonctions d’onde sont également délocalisées, ainsi que les électrons qu’elles contiennent. Voir l’expression de ces fonctions d’onde
Chaque carbone est hybridé sp2 . Voici son squelette s :

Les 6 OA pz se combinent. Les résultats sont les suivants : (voir aussi l'expression des fonctions d'onde)
diagramme énergétique des 6 OM p obtenues :

L’énergie totale du système p non conjugué
(cyclohexatriène) vaut : 6a
+ 6b . Celle du système aromatique réel (p conjugué) vaut 6a + 8b . L’énergie de conjugaison vaut
donc 2b . Pour qu' un
cycle soit aromatique, il faut et il suffit que son système p comporte 4n + 2 électrons,
.
Il existe une méthode mnémotechnique permettant de représenter qualitativement les niveaux d’énergie d’un système aromatique. On dessine le cycle, un sommet pointant vers le bas. Les niveaux d’énergie sont situés en face des sommets du polygone, le niveau des OA pz (a ) passant par le centre du polygone.
Exemple : l’anion cyclopentadiènyle C5H5 : Il possède bien 6 électrons p , il est donc aromatique.

La description "OM" des structures p conjuguées n’est pas simple et présente une lourdeur certaine de manipulation. Aussi utiliserons-nous une description plus ancienne, plus rudimentaire, mais plus facile à manier, et qui, pour les résultats qualitatifs que nous recherchons, est suffisante.
Lorsque l’on considère les molécules que nous venons d’étudier, on est frappé par la délocalisation du système d’électrons p .
Aussi peut-on, à partir de formules développées classiques, où la délocalisation n’apparaît pas, écrire des déplacements des électrons p donnant de nouvelles structures, appelées formes mésomères, qui sont une autre représentation de la même molécule. Pour représenter totalemnt cette molécule, on devra dessiner plusieurs de ces formes mésomères, qui contribueront chacune pour une part donnée à la formule réelle, que l’on obtient par la méthode OM .
Prenons le cas du benzène :

On peut aussi dessiner la deuxième structure en faisant se déplacer chaque doublet p de liaison, d’une liaison à l’autre (flèches courbées). Entre les deux, on dispose la double flèche ¬ ¾ ® , indiquant l’équilibre mésomère entre les deux formes. Ces deux formes étant deux représentations limites de la même molécule, la réalité sera intermédiaire, et on essaye de représenter un "hybride de résonance", grâce à des pointillés qui courent sur toutes les liaisons où il y a délocalisation du système p :

Pour le benzène, on tracera un cercle au centre de la molécule.
On peut distinguer les formes mésomères discernables :
– 
hybride de résonance :
– protoxyde d’azote

– ion azoture 
et les formes mésomères indiscernables :
– ion nitrite

– ion nitrate

– ion carboxylate

– cation allylique
![]()
6.2.3. Conditions de la résonance
Entre les diverses formules possibles d’un composé soumis à la mésomèrie, on procède à un choix raisonnable en s’appuyant sur quelques règles issues de l’expérience ou du calcul.
La résonance ne fait intervenir, en général, que les doublets p et n des molécules. Les doublets s des liaisons C–H peuvent être considérés comme pouvant parfois participer à la résonance : (hyperconjugaison)
![]()
Lorsqu’il s’agit d’atomes de la 2ème période, la couche externe ne doit pas dépasser 8 électrons. Il n’est pas interdit d’écrire des formules limites dans lesquelles la couche externe est incomplète. La résonance est d’autant plus importante que les structures limites correspondent à des niveaux énergétiques plus proches, voire identiques, par exemple dans le cas de l’ion nitrate.
La résonance augmente quand le domaine de libre circulation des électrons s’étend. Elle est aussi fonction de l’angle de torsion entre les deux systèmes p :
butadiène s-trans : résonance maximale

butadiène s-cis : résonance minimale

Les formules limites dans lesquelles voisinent des charges de même signe ont une contribution négligeable à la structure :
négligeable
6.3. Conséquences de la résonance.
Nous verrons tout au long du cours de chimie organique l’influence de ce phénomène sur les diverses réactions que nous rencontrerons. Attardons-nous simplement sur l’aspect thermodynamique et sur les conséquences spectrales de la résonance.
6.3.1 Énergie de résonance. Définition thermodynamique.
On peut la mettre en évidence par l’enthalpie d’hydrogénation d’un composé (chaleur à pression constante), moins négative que celle attendue si la résonance n’existait pas :

On en déduit l’énergie de résonance Er = 150,6 kJ.mol–1
Quelques autres valeurs de Er :

Une énergie de résonance supplémentaire apparaît lorsque certains substituants du cycle aromatique permettent d’augmenter le domaine de libre circulation des électrons :

6.4.2. Spectroscopie électronique (UV - visible).
Nous étudierons toutes les conséquences de la résonance sur les spectres UV - visible dans le cours de spectroscopie.