
|
RX |
ROH |
Cl- |
H3O+ |
|
C0 |
- |
- |
- |
|
C0-xv |
xv |
xv |
xv |
1.
Mode opératoire :
Ajouter 2,0 mL de tBuCl dans 75 mL d ’un mélange
eau/éthanol à 50% en volume.
Température : q =
Calibre CDM 210 : 40 mS
2.
Montage :
3. Résultats :

Vérifier que la réaction
est d'ordre un et déterminer la valeur de la constante de vitesse k.
Exploitation des
résultats :
·
Détermination de
p : ![]()
![]()
![]()
![]()
![]()
![]()
![]()
![]()
|
|
Utiliser un tableur pour
déterminer les valeurs de ds/dt
et la valeur de p.
·
Résolution de
l’équation différentielle (p=1)
![]()
![]()
![]()
Comme :
![]()
![]()
On obtient : ![]()
ou
|
|
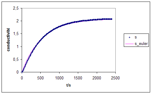
On pourra modéliser la courbe expérimentale par la relation ci-dessus
pour déterminer les valeurs de k et s¥
·
Méthode d’EULER
(p=1)
![]()
![]()
![]()
|
t |
st |
|
0 |
0 |
|
Dt |
sDt = st=0 + k(s¥ - st=0) Dt |
|
2Dt |
s2Dt = sDt + k(s¥ - sDt) Dt |
|
3Dt |
s3Dt = s2Dt + k(s¥ - s2Dt) Dt |
|
………… |
………………… |
Utiliser le solveur d’EXCEL pour minimiser la somme des écarts quadratiques en optimisant la valeur de k.
|
|
|
Critère quadratique |

k = 1,9´10-3 s-1
---------------------------------------------
Page d’accueil Pages « avancement en fonction du temps » Pages chimie